您的当前位置:网站首页 > 新闻中心 > 产品知识 > 如何选择齿辊式矸石破碎机的工作参数?
发布时间:2013-12-06 16:43:39
更新时间:2021-07-01 16:43:39
作者:小琪
欢迎
在线咨询
获取报价清单及产品资料,赚钱从这里开始、期待您的来厂参观!
1 矸石破碎机 2 设备厂家
齿辊式矸石破碎机采用冲击破碎与剪切拉伸相结合的破碎原理,两破碎齿辊采用差速设计,可解决齿辊破碎机难破碎湿粘物料的问题。在设计破碎机的过程中,要合理选择其工作参数,具体方法如下文介绍。

齿辊转速直接影响到破碎机的性能。该破碎机采用冲击破碎与剪切拉伸破碎相结合的破碎原理,冲击破碎可使物料获得较大的破碎功,剪切拉伸破碎又可使物料沿本身存在的晶格缺陷和纹理缺陷的方向破碎;
既节省了破碎功耗,又大大增加了物料的破碎比。试验表明,该种齿辊破碎机的齿辊线速度在20~30 m/s之间时效果较好。
为满足大破碎比的要求,将设备设计为上下两段破碎腔,上下段破碎比按下式计算:
,式中:i1 为上段破碎比;i2为下段破碎比;N1为上段安装功率; N2为下段安装功率。
破碎机的有效功率为安装功率的50%~80%时,破碎机的运转较佳,故障也比较少。
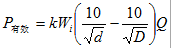
,式中P电机 为装机功率(kW),P有效 为齿辊破碎功率(kW)。有效功率的计算按第三破碎理论,即:
,式中k是系数,细碎时一般取1;Wi是功指数(kW.h/t);d是出料粒度直径(um);D是入料粒度直径(um),Q是生产能力(t/h)。
现在较常用的经验为,齿辊直径与入料粒度之比为:φ/D≥0.8~1.5。
破碎硬物料时,L/φ=0.30.7;破碎软物料时,L/φ=1.252.5。
厂家地址:中国郑州高新技术开发区檀香路8号,咨询电话:0371-67772626
上一篇:齿辊式矸石破碎机的结构及工作原理
![]()
![]()
在线留言想了解价格?产量?型号?售后?请留言,我们第一时间为您回复