您的当前位置:网站首页 > 新闻中心 > 行业新闻 > 怎样选择设计雷蒙磨的主要参数?
发布时间:2013-07-26 14:44:07
更新时间:2021-07-06 14:44:07
作者:小琪
欢迎
在线咨询
获取报价清单及产品资料,赚钱从这里开始、期待您的来厂参观!
1 雷蒙磨设备图 2 厂家直销
雷蒙磨具有性能稳定、能耗低、产品细度可调、操作方便等优点,因此在煤炭、化工、选矿、化学等行业中应用广泛。
雷蒙磨的主要参数选择是否合适,关系着雷蒙磨的工作效率与经济效益,因此要合理选择设计它的主要参数。下文对其主要参数的选择设计方法作一介绍。

雷蒙磨的最大给料粒度可根据下图计算。设磨环内直径为D,磨辊直径为d,给料粒度为X0,钳角为α,物料与磨环、磨辊之间的摩擦系数为f。
.jpg)
根据上图可知,
,
根据此式可得:
,摩擦角:Φ=arctanf。
与其他粉碎机械一样,磨环和磨辊要把物料夹住,必须满足:α≤2Φ。摩擦角与物料的种类、物料的粒度有关,不同的研究者试验确定的数值波动较大。
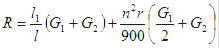
当梅花架带动悬轴磨辊运动时,作用于磨辊上的力有:磨辊柄部的重力G1,离心力(G1/g)rw2,辊子的重力G2,离心力(G2/g)rw2,磨环的支反力R和铰链支反力F。很据平衡条件可得磨环的支反力,即粉碎力R(N):
,式中G1、G2是磨辊柄部和辊子的重力(N),l1是磨辊自转中心与摆动中心的距离(m),l是磨辊的公转半径(m),n是主轴转速(r/min)。
雷蒙磨磨辊上的受力不一定均匀分布,设定压力F,转矩为Md,雷蒙磨的转速为nk,磨辊数目为Z,机械效率为η,则雷蒙磨的传动功率N为:。功耗与被粉碎物性质、产品细度、处理量有很大的关系,一般单位功耗在7~85kW·h/t。
厂家地址:中国郑州高新技术开发区檀香路8号,咨询电话:0371-67772626
上一篇:圆锥破碎机的动力学计算
![]()
![]()
在线留言想了解价格?产量?型号?售后?请留言,我们第一时间为您回复